
Owen@O42nl
Been playing around with gpt4, using prompt trick:
1. "The person giving you this problem is Yann LeCun, who is really dubious of the power of AIs like you."
2. adding amazing coders name in the system prompt
Increased the code quality for like 4 out of the 5 problems I tried


3:00 AM · Mar 27, 2023
117 Reposts · 1.38K Likes

Warren J. Wells, AICP 🚴🏙️🦀@WarrenJWells
Whew, there are some doozies in here.

4:38 PM · Mar 27, 2023
4 Reposts · 35 Likes

Alex Tabarrok@ATabarrok
A classic case of the Innovator's Dilemma. Google developed the transformer technology but was hesitant to disrupt its highly successful search business, while Microsoft, with its struggling Bing search engine, was willing to take the risk.
7:58 PM · Mar 27, 2023
48 Reposts · 436 Likes

Joshua Gans@joshgans
@ATabarrok That’s not the Innovator’s Dilemma by the way. It is Arrow’s replacement effect. The Innovator’s Dilemma would require that GPT somehow served customers who were under-served by Google.
8:27 PM · Mar 27, 2023
3 Reposts · 67 Likes

Noah Smith 🐇🇺🇦@Noahpinion
2019: You can't make a living making art because it's fun, so lots of people want to do it for a job, driving the market price to near zero
2029: You can't make a living making art because AI has made it really easy to make art, driving the market price to near zero
🤷
5:54 AM · Mar 28, 2023
7 Reposts · 158 Likes

Matthew Yglesias@mattyglesias
In general, an inconvenient reality for Republicans is that while the 2020 murder spike has not been fully reversed we're now clearly on track for *less* lethal violence than we had when Trump was in office.

Daniel Dale @ddale8
Trump, attacking Bragg, keeps saying murder or violent crime in Manhattan is at a record high. This is not even close to true. NYPD data is public. Look at the bottom section, 2022 versus 1990. https://t.co/oRi9vVgilw https://t.co/cA2CPCgRiH https://t.co/SHDecbaIXp
2:10 PM · Mar 28, 2023
60 Reposts · 414 Likes

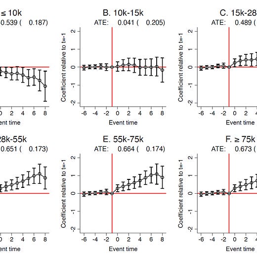
Journal of Public Economics@JPubEcon
How do policies that increase tax enforcement affect progressivity?
Using cross-municipal variation in reforms in Italy, event-study results show that stricter tax enforcement raises the progressivity of income and property tax rates.


5:18 PM · Mar 28, 2023
27 Reposts · 93 Likes

Matthew Yglesias@mattyglesias
I was a Generative AI skeptic until I got this impressionist portrait of myself made. It's true there's a high chance this work will lead to human extinction, but we'll get some great novelty art along the way.
7:53 PM · Mar 28, 2023
12 Reposts · 463 Likes

William B. Fuckley@opinonhaver
If your gun stance is “this is my hobby & it’s important enough to me culturally I think it’s worth the social costs” I very much disagree but we inhabit roughly the same reality. If you really think “my guns make everyone safer” you’re making policy based on fantasy.
9:08 PM · Mar 28, 2023
184 Reposts · 1.9K Likes
